新加坡教育网根据最新的官方消息:
新加坡三育中小学的中一和中一预备班也开放报名通道了!
需要注意的是:
报名时间为2月14日至2月27日,
名额人满就关闭!
有意向的家庭现在开始可以报名了!!!
报名链接:
https://www.regonline.com/builder/site/Default.aspx?EventID=2556871

注意关键时间点!!!
网上报名时间:
2019年2月14日—2019年2月27日;
考试&面试时间:
2019年3月5日
(注:考试成绩将于一个月内公布);
注意事项:
报名人满就自动关闭报名通道!
其他年级:
一旦校方释放出学额、入学考试的最新消息,我们会在第一时间通知家长!我们是三育中小学的校代~

请各位有意的考生家庭,
添加小助手进行咨询哦!
!
重要提示
从今年2月1日起,12岁以下的外籍儿童申请新加坡长期居留签证证时,必须先向保健促进局提交曾接受过白喉(diphtheria)及麻疹(measles)疫苗相关证件。
详情请点击:新规将至 | 留学家庭注意:2月1日起,来新加坡前没打过这两个疫苗,将不能办准证!
01避开AEIS的最优途径,是……
家长们都知道,国际学生入进入新加坡政府中小学,必须先考政府中小学国际学生统一入学考试AEIS(Admissions Exercise for International Students)。
一直以来,中国家长为孩子择校时都青睐于公立政府院校,在很多人看来:公立学校师资雄厚、课程正统、学费低廉、更有官方背书等诸多优势~
但是在的新加坡,往往被忽视的私立学校一样是优势满满,比如在后台家长们询问最频繁的新加坡三育中小学:
新加坡三育中小学虽为私立学校性质,但是新加坡教育部核准的唯一一所同时提供中学教育、小学教育和预备课程的自治学校。
1.教师全部是经过新加坡教育部注册和认可的合格教师!
2.所有课程是严格遵循新加坡教育部大纲!
3.毕业生可跟新加坡政府中小学的学生一样,学生在小学或中学毕业时将参加新加坡政府的统一考试!
4.三育中小学也是新加坡教育部委任办理PSLE和GCE'O'Level的考试中心!
最关键的是,无需参加AEIS考试,只需通过学校的入学考试就能入学!
要知道,三育中小学不仅课程体系,和政府中小学学校一致,开课、假期时间也相同,更重要的是这所学校是可以办理陪读准证的!

学习氛围优 要看一个学校是否优秀,学习氛围是最最重要的评价标准了。三育学校的学习氛围自然是毋庸置疑的。所有申请三育中小学的国际学生均需要参加入学考试,以确保有学习能力的学生进入,拥有这么多的优秀学子,三育学校的学习氛围自然是相当浓厚的。
02报名条件?学费?关于三育的Q&A
家长们频繁资讯三育中小学,小新君也理解家长为什么如此着急:
想趁着早春之际,为孩子换一个新的跑道,重新起航!
所以特别整理了一波后台搜集来的关于三育中小学的问题:
➥ Course Fees
学费

其中,国际学生最需关注的是:
小学S$14,110;初中S$16,330。
➥ Age Requirements
年龄要求

学生年龄在7至18岁;
通过学校测试及面试,考试内容包括英语和数学。
Q1
三育中小学的课程设置是什么样的?

仿公立学校课程 所有课程是严格遵循新加坡教育部大纲,学生在小学或中学毕业时,将参加新加坡政府的统一考试,学校也与多所欧美及澳洲的大学建立了合作关系,使学生在毕业前就为将来到欧美及澳洲深造打下基础。
三育中小学属于私立学校,师生比例1:40,有小学和中学部。小学是6年制、初中是4年制,开学时间和政府中小学是一样在每年的1月2日,学期结束时间每年的10月或11月,与政府公立中小学是一致的。
小学阶段上的课程包括英语、数学、科学、华语等,如果是小六生记住一定一定要参加教育部(MOE)举办的毕业考试。
中学全部为四年制的快捷班,超龄学生也可入读。课程包括英语、数学、科学(物理、化学、生物)、历史、华语、英国文学、地理等。
优秀的中学毕业生可升入新加坡政府的理工学院、初级学院或海外大学预科班就读。
Q2
去三育这样的私立学校可以陪读吗?

陪读政策 三育中小学虽然是私立学校性质,但是母亲或者奶奶或者外婆可以申请陪读。
在新加坡,只要是16岁以下的学生都可以申请母亲陪读,这是为了让家长能够放心让孩子在新加坡留学,这样不仅可以照顾孩子的饮食起居,还能够参与孩子的成长。
一般申请新加坡母子陪读政策的亲属需要是孩子的母亲,或者是女性直系亲属,母亲在陪读期间可以合法打工。
等到孩子进入学校,办理学生准证,家长就可以申请办理新加坡母子陪读签证,一般有效期为1年,可根据孩子学生准证的续签再做续签。
Q3
去三育可以同时参加AEIS考试吗?
AEIS考试 进入三育中小学就读之后,学生同样可以参加新加坡国际学生统一入学考试AEIS考试。
由于通过AEIS考试进入新加坡政府中小学的难度逐年加大,目前不少家长选择三育中小学作为过渡,让孩子备考AEIS。
Q4
备考入学考试,有没有什么省心省力的选择呢??
由于考位有限,想要申请的学生抓紧联系我们,我们是三育中小学的校代,同时我们还提供三育中小学入学考试的培训!!!
在经过我们“全真模拟环境下”的专业系统性培训后,往往都能从容应对。有意的考生家庭,可以扫描文章开头二维码添加小助手进行咨询哦!
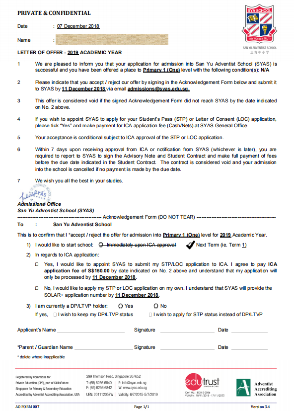
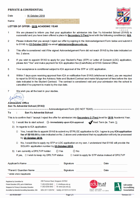
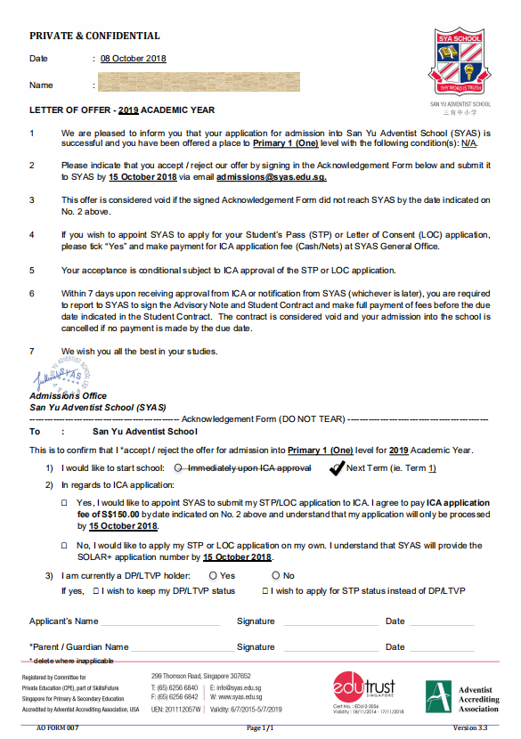
以下都是我们学生收到的录取通知!!!






每年,都有大量家长想把自己的孩子送往新加坡接受新式教育;如今,想让孩子入读新加坡政府中小学的路径便是参加AEIS与S-AEIS考试;而每年,在AEIS考试的考场上,都能看到一些熟悉的面孔……可知,AEIS考试是相当有难度的!!!
而进入新加坡三育中小学就读,被认为是一条与AEIS殊途同归的升学途径!机不可失!!!
想了解新加坡小学教育、新加坡小学考试以及新加坡小学排名等信息的家长和同学欢迎大家在线咨询哈!
热门文章
苏公网安备32011302322668号 增值电信业务经营许可证:苏B2-20190120 苏ICP备17009794号-33 版权所有:南京课窝教育科技有限公司
Powered by marler.cn